Robuta

https://www.investopedia.com/terms/m/maastricht-treaty.asp
The Maastricht Treaty was responsible for the creation of the European Union and was approved by leaders of member states that made up the European Community...
maastrichttreatydefinitionpurposehistory
https://traveltweaks.com/unraveling-the-rich-symbolism-of-the-colombian-flag-a-deep-dive-into-its-history-and-significance-63821/
Aug 20, 2024 - Unfurling in the breeze, the Colombian flag paints a vibrant picture of the country's rich history and diverse culture. It's a symbol that...
unravelingrichsymbolismcolombianflag
https://thekyb.com/blog/significance-of-corporate-investigations-in-protecting-business-reputation/
Mar 10, 2025 - Corporate investigations are important in safeguarding your company's interests and reputation. Learn how it can protect your business from potential...
significancecorporateinvestigationsprotectingbusiness
https://www.news18.com/lifestyle/pongal-2026-bhogi-thai-pongal-mattu-pongal-kaanum-significance-rituals-aa-ws-e-9818963.html
Jan 15, 2026 - Explore Pongal 2026 celebrations, rituals, and significance of Bhogi, Thai, Mattu & Kaanum on news18.com.
thaiamp
https://itibettravel.com/tibetan-art-of-statue-making/
May 21, 2025 - Explore the Tibetan art of statue making, a unique cultural heritage that transformed Tibet's artistic landscape in the Seventh Century.
tibetanartstatuemakingsignificance
https://outdoorsqueensland.com.au/submissions/
Sep 8, 2025 - Submissions - one of our most important functions is to develop submissions to government on issues of significance to the outdoor sector.
submissionsissuessignificanceoutdoorsector
https://www.globaltimes.cn/page/202511/1349261.shtml
China will use more pragmatic and innovative wisdom, along with warm and determined actions, to work together with other developing countries, including Tonga,...
deepersignificancetongankingplanting
https://www.jagranjosh.com/general-knowledge/india-adds-two-new-ramsar-sites-check-names-their-significance-for-wetland-conservation-1820004923-1
India’s New Ramsar Sites 2025: Siliserh Lake in Alwar, Rajsthan and Kopra Jalashay in Bilashpur, Chhatishgargh have been added to Ramasr list of wetlands,...
indiaaddstwonewsites
https://blogs.crossmap.com/stories/the-significance-of-a-pearl-2G0ibtTpBjeI0epv19T9R
“Again, the kingdom of heaven is like a merchant seeking fine pearls.” – Matthew 13:45Growing up, I often heard the scripture, “Be careful not to cast...
significancepearlblogs
https://www.ask.com/tv-movies/unveiling-silent-film-era-understanding-historical-significance
May 20, 2025 - The silent film era holds a special place in the history of cinema.
silent filmeraunderstandinghistoricalsignificance
https://www.citybit.in/wishes/karwa-chauth/
Karwa Chauth 2025: Date, time, rituals, significance, and beliefs behind this sacred festival for married couples. Fast, pray, and celebrate love!
karwa chauthdatetimeritualsignificance
https://www.streetwisereports.com/article/2025/06/17/drill-results-reveal-one-hole-of-great-significance.html
Skyharbour Resources Ltd.'s (SYH:TSX.V; SYHBF:OTCQX; SC1P:FSE) stepout hole ML-24-15 and follow-up drilling should materially and positively impact the...
one holedrillresultsrevealgreat
https://wwjournals.com/astronomical-sign-for-december/
Oct 31, 2024 - Want to know what the stars say about your December zodiac? This guide will reveal the fascinating insights and predictions associated with your celestial sign.
astronomicalsigndecembercompatibility
https://www.thecybersecurityreview.com/cxoinsight/significance-of-pen-testing-nwid-1007.html
Forget dusty old maps and creepy minotaurs; cybersecurity is the real labyrinth in today\'s world. The good news? You don\'t need Theseus (although a handy...
pen testingsignificance
https://robert-galbraith.com/the-significance-of-the-running-grave/
Nov 11, 2024 - Listen to Robert expand on the title of The Running Grave and its connection to the story.
robert galbraithsignificancerunninggrave
https://www.health.com/microbiome-definition-8645248
The gut microbiome doesn't just influence the gastrointestinal (GI) system. It plays a bigger role in overall health, including immunity.
understandingmicrobiomedefinitionsignificance
https://foodabletv.com/8552128110-2/
Nov 11, 2025 - Ever faced the intriguing mystery of a number that’s more than just digits? Welcome to the world of 8552128110. Whether it’s showing up on your...
understandingsignificanceusefoodable
https://www.christiantoday.com/news/what-is-the-significance-of-thanksgiving-for-christians
Every fourth Thursday of November, Americans mark Thanksgiving. American Thanksgiving is a relatively modern tradition, but the principle behind it has a long...
significancethanksgivingchristianstoday
https://www.news18.com/lifestyle/kanuma-panduga-2026-date-significance-rituals-and-traditions-aa-ws-e-9824934.html
Jan 14, 2026 - Kanuma Panduga 2026 will be celebrated on January 15. Know its date, rituals, cultural significance and why cattle are worshipped during Sankranti. Read more...
lifestyle newsdatesignificanceritualstraditions
https://www.degruyterbrill.com/document/isbn/9789004691568/html
Mar 11, 2024
originsignificancezero
https://www.londonbelles.co.uk/the-significance-of-high-quality-photos-on-escort-websites-flashy-filter-photography-studio-in-london.html
Jun 30, 2024 - In the world of escort services, first impressions matter greatly. When potential clients visit escort websites, they seek a captivating experience that...
high quality photosescort websitessignificanceflashy
https://news.brandonu.ca/2025/11/25/destination-bu-winners-show-off-the-significance-of-their-global-study-journey/
“Emotional, exciting, and unforgettable.” That’s how Rachael Olugbade described her journey from Nigeria to Brandon University.
winnersshowsignificanceglobal
https://www.news18.com/lifestyle/uttarayan-2026-date-time-rituals-significance-makar-sankranti-aa-ws-kl-9826906.html
Jan 14, 2026 - Uttarayan 2026 falls on January 14. Check exact timing, rituals, significance and regional names of the festival in India on news18.com.
lifestyle newsdatetimeritualssignificance
https://www.sportsfeelgoodstories.com/all-about-triple-doubles/
Apr 7, 2023 - What is a triple-double? We take a deep dive into the meaning, significance, and leaders of this important basketball statistic.
tripledoublesmeaningsignificanceleaders
https://schwabnetwork.com/video/kg-on-significance-of-oil-tanker-blockade-medline-s-ipo-mu-earnings
kgsignificanceoiltankerblockade
https://news.cgtn.com/news/2025-11-29/Hainan-CPC-Secretary-discusses-significance-of-Independent-Customs-Operations-1GwMsmjntJK/p.html
Hainan is on a 100-day countdown until "independent customs operations" kick off on December 18, 2025 – a top governmental priority. In this...
hainancpcsecretarydiscussessignificance
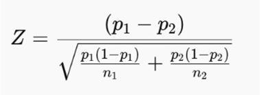
https://www.surveymonkey.com/curiosity/significant-difference-data-see-close-truth/
Jun 26, 2025 - Last month, we gave you Basic Statistics so you can see the mean, median, mode, minimum, and maximum alongside your survey results in an instant. Today, we...
statistical significanceseeclosetruth
https://dearmedia.com/breaking-beauty-hair-extensions-lacy-redway/
Nov 8, 2025 - There's a whole cultural conversation about hair extensions being had, and 'Breaking Beauty' had Lacy Redway on to have it.
extensionslacybreakstexturedhair
https://randcasinoguide.id/significance-of-number-111/
Sep 10, 2025 - Table of ContentsThe Spiritual Meaning of 111Why 111 Echoes Through LifeThe Mystical Power of 111 in Daily LifeIllustrations on the Significance of Number...
significancenumber
https://www.globaltimes.cn/page/202509/1342537.shtml
The new-type DF-5C liquid-fueled intercontinental strategic nuclear missile made its debut at China’s V-day military parade on Wednesday to mark the 80th...
chinese militaryaffairsexpertexplainssignificance
https://www.cnn.com/2026/01/15/politics/video/ac360maggiehaberman
Jan 16, 2026 - NY Times White House Correspondent Maggie Haberman breaks down how serious she thinks the president is about invoking the Insurrection Act in Minneapolis. She...
maggiesignificancepresidentthreat
https://www.etnownews.com/news/navratri-colours-significance-9-days-9-goddess-forms-their-associated-colours-photo-gallery-152871377
Sep 22, 2025
colourssignificancedaysgoddessforms
https://metana.io/blog/non-fungible-tokens-nfts-and-their-significance/
Nov 26, 2025 - Learn about Non-Fungible Tokens (NFTs) and their significance in digital ownership, art, and gaming. Discover how NFTs are transforming industries... Read more
nontokensnftssignificance
https://www.timesnownews.com/spiritual/mauni-amavasya-2026-date-auspicious-timings-and-spiritual-significance-explained-article-153398660
Jan 5, 2026 - Mauni Amavasya 2026, the most sacred new moon, will be observed on 18 January. Devotees observe silence, holy bathing and charity. Auspicious yogas enhance...
datespiritualsignificanceexplained
https://thinkdifferentdesigns.com/the-foundation-of-every-page-unveiling-the-significance-of-small-business-website-footers/
Mar 25, 2024 - Amidst the spotlight of eye-catching headers and engaging content, there exists an often-underestimated yet pivotal element—the footer section of your small...
foundationeverysignificancesmall
https://www.thoughtco.com/russian-samovar-4771018
Learn about the origins and history of the Russian samovar and its usage in the past and in modern Russia.
russianculturalsignificance
https://apacnewsnetwork.com/2022/12/apollo-hospitals-elaborates-significance-of-genomics-in-gastrointestinal-and-liver-diseases/
Feb 13, 2023 - To commemorate 24 years of successful liver transplant in India, Apollo Hospitals organised a conference that highlighted the significance of genomics in...
apollohospitalssignificancegenomicsgastrointestinal
https://www.tradingview.com/script/W0vYvqgB-Statistics-Chi-Square-P-value-Significance/
statisticschisquarepvalue
https://www.citybit.in/wishes/baisakhi-holiday/
Baisakhi 2025: Know the date, time, history, and significance of the festival. Celebrate this vibrant harvest festival with joy and cultural traditions!
datetimehistorysignificance
https://housiey.com/blogs/number-2-in-numerology-a-complete-guide-to-its-meaning-influence-and-spiritual-significance/
Oct 8, 2025 - Discover the deep meaning of Number 2 in numerology—its traits, career paths, relationships, spirituality, and cultural significance in detail.
complete guidenumbernumerologymeaning
https://www.originalbuddhas.com/blog/apsaras-the-divine-nymphs-of-beauty-dance-and-mythology
Discover the mystical world of Apsaras, celestial beings in Hindu and Buddhist mythology. Learn about their origins, roles, and influence in art, dance, and...
divinenymphsbeautydanceamp
https://news.eventscouncil.org/eic-announces-2026-global-economic-significance-study-and-advocacy-day/
Sep 16, 2025 - Seminal Research to be Released in Conjunction with Global Meetings Industry Day WASHINGTON, D.C., U.S.A. (15 September 2025) — The Events Industry Council,...
advocacy dayeicannouncesglobaleconomic
https://fairyhaven.games/femboys-definition-cultural-significance-and-role-in-video-games/
Sep 2, 2024 - Femboys: Definition, Cultural Significance, and Role in Video Games. - Gaming %
video gamesfemboysdefinitionculturalsignificance
https://bcbstwelltuned.com/2025/10/20/why-breast-cancer-screening-carries-significance/
Nov 7, 2025 - Almost 7,000 Tennesseans will be diagnosed with breast cancer in 2025. Here's what you need to know about breast cancer screening.
breast cancer screeningcarriessignificance
https://swordis.com/blog/great-sword/
Sep 7, 2024 - Explore the famous types of greatswords in history, their origins, roles in military combat, and significance across various cultures.
typeshistoricalsignificance
https://www.thehealthsite.com/photo-gallery/diseases-conditions-oral-health-understanding-the-significance-of-gum-colour-995156/
Oral health is important for several reason. Read on to understand the significance of each gum colour. TheHealthSite.com
oral healthunderstandingsignificancegumcolour
https://robert-galbraith.com/the-significance-of-the-i-ching/
Nov 11, 2024 - Listen to Robert expand on the importance of the I Ching in The Running Grave.
robert galbraithsignificanceching
https://profmattstrassler.com/
Conversations About Science with Theoretical Physicist Matt Strassler I believe deeply that science is one of the world’s great spectator sports, and should...
particularsignificanceconversationssciencetheoretical
https://truthout.org/articles/mainstream-media-miss-the-global-significance-of-counterrevolution-in-sudan/
Oct 17, 2025 - This is a war against civilians and against a truly pro-democracy revolution, says Professor Khalid Mustafa Medani.
mainstream mediamissglobalsignificancesudan
https://www.news18.com/lifestyle/magh-bihu-2026-date-timings-significance-rituals-assam-harvest-festival-aa-ws-e-9824973.html
Jan 14, 2026 - Magh Bihu 2026 will be celebrated on January 15 in Assam. Know its date, rituals, Uruka night traditions and cultural significance. Read more on news18.com.
dateampsignificanceritualsassam
https://mycreditunion.gov/about/news-blog/ensuring-financial-protection-significance-servicemembers-civil-relief-act
Read about the Servicemembers Civil Relief Act and what rights and protections it grants you. Learn more.
financial protectionensuringsignificancecivilrelief
https://www.reference.com/history-geography/preserving-history-significance-ww1-soldier-records
May 20, 2025 - World War 1, also known as the Great War, was a global conflict that had a profound impact on the world.
preserving historysignificancesoldierrecordsreference
https://sexorc.net/cultural-significance-of-amateur-threesome-porn-in-different-countries/
Dec 9, 2023 - Cultural significance of amateur threesome porn in different countries. Let your fantasies run wild with our curated collection of hot threesome articles.
amateur threesomeculturalsignificanceporndifferent
https://www.carter-ruck.com/insight/european-investment-law-and-arbitration-review-micula-v-romania-a-saga-of-lasting-significance/
Feb 1, 2023 - Lawrence Northmore-Ball, Amber Courtier and Jennifer Harvey have analysed the lasting significance and future implications of the Micula case in their article...
europeaninvestmentlawarbitrationreview
https://www.the-express.com/sport/american-football/191837/origins-significance-detroit-lions-thanksgiving-tradition
Nov 27, 2025 - The Detroit Lions face the Green Bay Packers on Thanksgiving.
detroit lionsthanksgiving dayoriginssignificancetradition
https://blacknewsandviews.com/watch-political-well-knowns-join-national-urban-league-in-opening-new-national-headquarters-in-harlem/
Nov 14, 2025 - NEW YORK — With heavily Democratic New York City now the poster child for all that President Trump hates, officials came together Wednesday to show their...
civil rightswatchchildrenleadersshare
https://www.iiad.edu.in/the-circle/opportunities-with-design-thinking-iiad/
Design Thinking has become a valuable skill across industries, with rising demand for people who craft innovative solutions to business challenges.
design thinkingsignificancebusinessamptechnology
https://hendersonequalitycenter.org/lgbtqia-days-of-significance/
Dec 30, 2025
lgbtqiadayssignificancehendersonequality
https://www.ibtimes.co.uk/symbolism-liturgical-vestments-angelic-motifs-their-spiritual-significance-christian-worship-1738909
Jul 21, 2025 - Angelic motifs in liturgical vestments—such as wings and harps—offer rich spiritual symbolism rooted in Christian tradition, enhancing the...
symbolismangelicmotifsspiritualsignificance
https://washingtonindependent.org/77-angel-number/
Jan 18, 2024 - Unveil the mysteries of the 77 Angel Number - Explore its profound spiritual significance and messages.
angelnumbermeaningtwinflame
https://teachingamericanhistory.org/document/the-significance-of-history/
Dec 5, 2024
significancehistoryteachingamerican
https://www.sabcsport.com/news/leo-mlata-reveals-the-significance-of-holding-the-wbc-youth-world-crown
Newly crowned WBC Youth Super Bantamweight World Champion, Leo Kaya Mlata explains the weight of his achievement and outlines his next steps. | SABC
leorevealssignificanceholdingwbc
https://www.breitbart.com/politics/2026/01/02/oh-gov-s-office-downplays-significance-of-alleged-somali-fraud/
Jan 3, 2026 - Ohio Gov. Mike DeWine's (R) office downplayed the significance of alleged Somali fraud occurring in the state, equating it to shoplifting.
ohgovofficesignificancealleged
https://news.cgtn.com/news/2025-11-21/Xi-s-eco-civilization-thought-has-global-significance-a-report-says-1ItWmx50jFm/p.html
A report focusing on the global significance of Xi Jinping Thought on Ecological Civilization was released at the Global Panda Partners 2025 Conference in...
xiecocivilizationthoughtglobal
https://www.smallcase.com/learn/pe-ratio-price-to-earnings/?utm_source=tickertape&utm_medium=faq&utm_campaign=asset-pages
Aug 7, 2025 - Learn about the P/E ratio in stock analysis, how it’s calculated, and how it helps assess a stock’s valuation, and performance.
peratiodefinitioncalculationamp
https://blog.prepscholar.com/platt-amendment-definition
Questions about the Platt Amendment or the Spanish-American war? Our complete Platt Amendment APUSH guide walks you through everything you need to know.
amendmentdefinitionsignificance
https://intentmedia.com/ebaloovo/
Oct 6, 2025 - Welcome to the intriguing realm of Ебалоово. If you've ever found yourself scratching your head while scrolling through social media,
exploringculturalsignificancecontroversies
https://link.springer.com/chapter/10.1007/978-94-024-1079-2_8?error=cookies_not_supported&code=cf55edc3-95cf-4848-8377-2205ad7ef5a5
Two main functions of taurine in the brain are here discussed: the role of taurine in cell volume regulation and the neuromodulatory actions of taurine...
springer naturesignificancetaurinebrain
https://riskassociates.com/pci-services/pci-ssf/
Nov 10, 2025 - The Payment Card Industry Secure Software Framework (PCI SSF) is a dedicated standard designed to enhance the security of payment software.
cybersecurity compliancesignificancepcissfservices
https://www.treehugger.com/significance-of-trees-after-natural-disasters-7506934
Following a hurricane, replanting trees is often a key part of recovery.
natural disasterssignificancetreeshit
https://www.citybit.in/festivals/navratri-festival/
Navratri Festival 2025: Explore dates, significance, and daily rituals of the 9-day celebration dedicated to Goddess Durga. Join the vibrant festivities!
festivaldatesignificancedailyobservances
https://intentmedia.com/ambarevanss/
Nov 9, 2025 - When was the last time you stumbled upon a term that piqued your curiosity but left you utterly perplexed? Meet
fascinatingexplorationsignificancefuture
https://www.india.com/lifestyle/makar-sankranti-2026-know-date-timings-history-significance-and-why-the-festival-matters-8267025/
Makar Sankranti 2026: Know date, timings, history, significance and why the festival matters
makarknowdatehistorysignificance
https://www.mannixmarketing.com/blog/google-local-online-reviews-hotels/
Apr 17, 2020 - Find out why Google+ Local user ratings and customer reviews are essential for hotels and other local business' digital marketing strategy.
everyhotelknowgooglelocal
https://udservices.org/mental-health-and-people-with-disabilities/
Mar 14, 2022 - The relationship between mental health and people with disabilities can be complicated, so it's important to understand how the two interact.
mental healthsignificancepeopledisabilities
https://foliamedica.bg/article/143849/
clinicalsignificancehumanproteincancer
https://glasgowtelegraph.co.uk/featured-news/enhancing-living-spaces-the-significance-of-specialist-extension-builders-in-battersea/
May 6, 2024 - Home additions are a big choice that need for thorough preparation, skilled workmanship, and close attention to detail. Speak with a qualified extension...
living spacesenhancingsignificancespecialistextension
https://www.americanthinker.com/blog/2024/12/the_vital_significance_of_chanukah.html
Each year we commemorate the eight-day festival of Chanukah, celebrating the victory of Jewish freedom fighters who ejected the Syrian-Greeks from Judah and...
vitalsignificancechanukahamericanthinker
https://www.techehow.com/significance-pmp-certification-techies/
TecheHow Is A Tech Blog. We Blog About Blogging Tips, Business, Gadgets, Reviews, Social Media, Technology, Web Design.
significancepmpcertification
https://constructionor.com/open-channel-flow/
Oct 26, 2021 - Open channel flow means a flow-through channel that is open to the atmosphere and has a free surface, the flow is produced because of gravity that is
openchannelflowclassificationfactors
https://www.gallup.com/cliftonstrengths/en/252341/significance-theme.aspx
Everything you need to know about the CliftonStrengths theme Significance, made popular in the international bestselling book StrengthsFinder 2.0.
significancethemeengallup
https://acwm.org/
Nov 21, 2025 - The American Civil War Museum is more than a collection of artifacts, we are educators and storytellers connecting the Civil War and its legacies to current...
american civil warmuseumexploringunparalleledsignificance
https://uwaterloo.ca/indigenous/events-days-significance
Explore events and workshops hosted by the Office of Indigenous Relations
indigenous relationseventsdayssignificanceoffice
https://www.mytvcodeenter.com/understanding-the-significance-of-angel-number-0909/
Sep 22, 2024 - When you see angel number 0909, it is a powerful reminder that you are on the right track towards fulfilling your spiritual purpose.
understandingsignificanceangelnumber
https://www.hellermanntyton.com/competence-hubs/rail/elearning-certification-en-45545
European railway standard, with a precise analysis of implications for rail products.
cable managementoriginssignificancerail
https://news.fsu.edu/news/expert-pitches/2025/12/09/florida-state-university-expert-available-for-interviews-on-significance-of-human-rights-day/
Dec 9, 2025 - Human Rights Day, celebrated on Dec. 10, marks the adoption of the Universal Declaration of Human Rights (UDHR) in 1948, which acknowledges fundamental
florida state universityexpertavailableinterviewssignificance
https://washingtonindependent.org/66-angel-number/
Jan 16, 2024 - Discover the hidden meanings of the 66 Angel Number - Explore the spiritual significance and messages behind this angelic number.
angelnumbermeaningnumerologysignificance
https://www.japan.go.jp/kizuna/2023/07/historical_significance_of_g7.html
Prime Minister Kishida reflected on the G7 Hiroshima Summit, saying that it was a meeting of “historical significance.”
historicalsignificancehiroshimasummitgovernment
https://visitidaho.org/travel-tips/experience-the-significance-of-a-powwow-in-idaho/
Oct 31, 2025 - Discover the significance of a powwow in Idaho, where Native traditions, colorful regalia and rhythmic drumming create a cultural celebration to remember.
experiencesignificanceidaho
https://www.docwirenews.com/post/dr-morse-talks-about-the-significance-of-world-sleep-day
Dr. Anne Marie Morse, about the significance and theme of this year’s World Sleep Day.
drmorsetalkssignificanceworld
https://www.meharfoundation.in/nasha-mukti-kendra-and-its-significance-in-india-in-relation-to-fighting-addiction/
Apr 19, 2025 - Explore how Nasha Mukti Kendra in India like Mehar Foundation offer effective de addiction rehab and drug rehabilitation centre services for lasting recovery.
nasha mukti kendrasignificanceindiarelation
https://yaqeeninstitute.org/watch/series/significance-of-the-sacrifice-iman-cave
Jul 4, 2024 - In order to become a man, you need to leave the boy behind. And to do that, you must challenge your body and mind through rites of passage.
significancesacrificeimancaveinstitute
https://milfsex.cc/cast/pute-rousse-violent-significance-in-effect-en-double/amateur/
Watch mature video Pute rousse violent significance in effect en double penetration dans un gangbang avec un vieux from xxx categories: amateur, anal, ass,...
double penetrationputerousseviolentsignificance
https://www.kiteworks.com/risk-compliance-glossary/transport-layer-security-tls/
Jan 6, 2025 - Learn all about Transport Layer Security (TLS), the backbone of secure internet communication. This article provides an overview of TLS, including its...
transport layersecuritytlsexplanationsignificance
https://www.thehealthsite.com/naturopathy/world-tb-day-2022-significance-of-yoga-and-naturopathy-to-control-tuberculosis-869956/
Practicing yoga on a regular basis and following a healthy lifestyle can help tackle TB symptoms and play an important role in the management of the disease....
worldtbdaysignificanceyoga
https://seotesting.com/blog/statistical-significance-in-seo-testing/
Learn how statistical significance validates SEO test results. Discover p-values, confidence levels, and tools that calculate significance automatically.
statistical significanceseo testingcomplete guide
https://5ktreks.com/blogs/khumbila
Khumbila: Explore the best insights into this iconic Everest region peak. Learn its myths, traditions, and fascinating stories in this ultimate guide.
historyfactsampculturalsignificance
https://college.mayo.edu/about/news/news-archive/as-match-day-approaches-mayo-clinic-alix-school-of-medicine-students-reflect-on-its-significance/
As Match Day 2022 approaches, Mayo Clinic Alix School of Medicine students reflect on its significance
match daymayo clinicapproachesalixschool
https://oregonmatrix.agclassroom.org/matrix/lessons/419/
Students will understand how agriculture influenced and shaped culture, class, and society during the Middle Ages. Grades 6-8
commonthreadsignificancewoolmedieval
https://www.ibtimes.com/zohran-mamdanis-inauguration-significance-new-yorks-abandoned-city-hall-station-3793929
Dec 30, 2025 - Zohran Mamdani's inauguration at the abandoned City Hall subway station highlights New York's transit history and his progressive vision
zohran mamdaninew yorkinaugurationsignificance